The current version provides implementations of smart pointers, directed graphs, sets, maps, B-trees, stacks, tables, string editing, unbounded arrays, expression analyzers, lock-free data structures, synchronization primitives (events, race condition free pulse events, arrays of events, reentrant mutexes, deadlock-free arrays of mutexes), arbitrary precision arithmetic, pseudo-random non-repeating numbers, symmetric encoding and decoding, IEEE 754 representations support, streams, persistent storage, multiple connections server/client designing tools and protocols implementations.
Changes to the previous version:
- The parsing example was upgraded from Ada 95 to Ada 2022. The changes include:
- Unicode identifiers;
- new () syntax;
- Container aggregate;
- for expressions in container aggregate;
- declare expressions;
- delta aggregates;
- if expressions;
- case expressions;
- raise expressions;
- The package Parsers.Generic_Ada_Parser.Generic_Dot was added for writing Ada syntax trees in the DOT format of Graphviz;
- The package Parsers.Generic_Ada_Parser.Generic_Text_IO was added for printing Ada syntax trees;
- The package Parsers.Generic_Source.UTF8_Keywords was added.
An example of text output of the syntax tree for:
(for I in 1 .. 4 => -- ARM 4.3.3
(for J in 1 .. 4 =>
(if I=J then 1.0 else 0.0)));
() at 355:1..357:38
|__for I in .. at 355:13..14
|__1 at 355:11..11
|__4 at 355:16..16
=> () at 356:8..357:37
|__for J in .. at 356:20..21
|__1 at 356:18..18
|__4 at 356:23..23
=> if = at 357:16..16
|__I at 357:15..15
|__J at 357:17..17
then
1.0 at 357:24..26
else
0.0 at 357:33..35
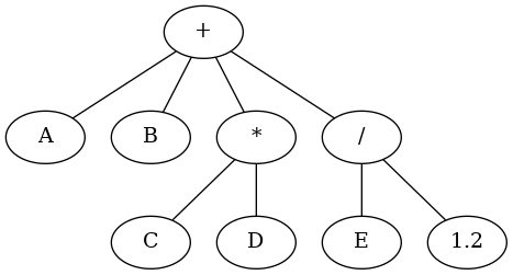
An example of Graphviz output for:
A + B + C * D + E / 1.2
